公司简介
资质荣誉
企业文化
免维护LED防爆泛光灯
免维护LED防爆照明灯
免维护LED防爆三防固定式
矿用隔爆LED巷道灯
免维护节能防爆(三防)灯具系列
厂用防爆灯具系列
移动防爆照明系列
防爆电器系列
防爆防腐电器系列
防爆风机、管件系列
行业动态
常见问题
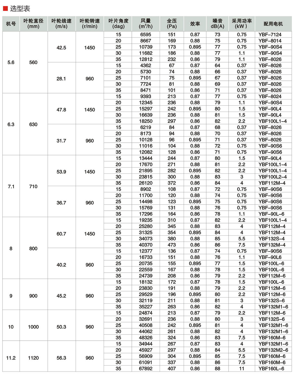
产品中心 防爆风机、管件系列 BT35-11系列防爆轴流风机(ⅡB)
上一个:CBF系列防爆轴流风机(ⅡB)
下一个:FAG系列防爆壁式排风扇(ⅡB)
Copyright © 2018 浙江新黎明环保有限公司 版权所有 All Right Reserved. 浙ICP备2020041317号-2 技术支持:传信网络 XML 网站地图
友情链接: 新黎明科创 矿用隔爆LED荧光灯 矿用隔爆LED投光灯 矿用隔爆LED照明灯